Section 06-09A: Brake System, Anti-Lock, Rear
1996 F-150, F-250, F-350 Workshop Manual
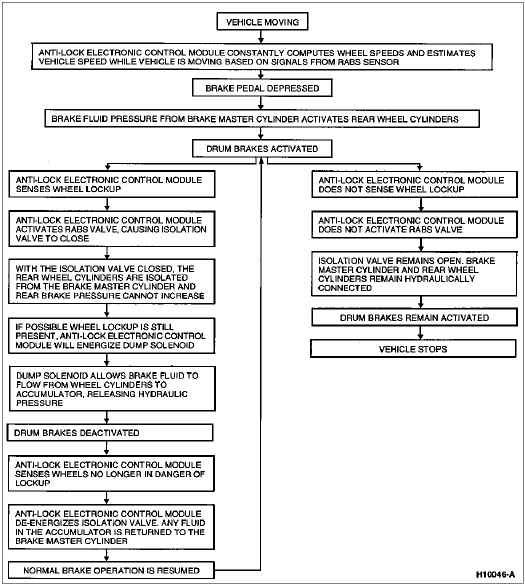
DESCRIPTION AND OPERATION

System Operation Flow Chart